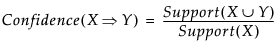
This section defines the performance measures used in Association Analysis. Denote the condition item set by X and the consequent item set by Y. Denote an association rule with condition set X and consequent set Y by
.
.The numerator for lift is the proportion of transactions where X and Y occur jointly. The denominator is an estimate of the expected joint occurrence of X and Y, assuming that they occur independently.
A lift value of 1 indicates that X and Y jointly occur in transactions with the frequency that would be expected by chance alone. Increasing lift values suggest that Y occurs more often than expected when X is present.






