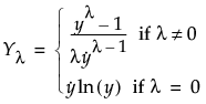
A commonly used transformation raises the response to some power. Box and Cox (1964) formalized and described this family of power transformations. The formula for the transformation is constructed to provide a continuous definition in terms of the parameter λ, and so that the error sums of squares are comparable. Specifically, the following equation provides the family of transformations:
The Box Cox Y Transformation option fits transformations from λ = –2 to 2 in increments of 0.2. To choose a proper value of λ, the likelihood function for each of these transformations is computed. They are computed under the assumption that the errors are independent and normal with mean zero and variance σ2. The value of λ that maximizes the likelihood is selected. This value also minimizes the SSE over the selected values of λ.
Creates a new data table containing parameter estimates and SSE values for all λ from –2 to 2, in increments of 0.2.
|
1.
|
|
2.
|
Select Analyze > Fit Model.
|
|
3.
|
|
4.
|
Make sure that the Degree box has a 2 in it.
|
|
5.
|
|
6.
|
Click Run.
|
The plot shows that the best values of λ are approximately between 1.0 and 1.2. The value that JMP selects, using its 0.2 unit grid of λ values, is 1.124.
|
7.
|
(Optional) To see the SSE values used to construct the graph, select Table of Estimates.
|

denotes the geometric mean.