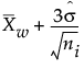
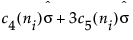
Center line for S-chart: By default, the center line for the ith subgroup (where 3 is the sigma multiplier) indicates an estimate of the expected value of si. This value is computed as
, where
is an estimate of σ.
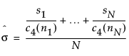
, where
is an estimate of σ.σ = process standard deviation
c4(n) is the expected value of the standard deviation of n independent normally distributed variables with unit standard deviation
c5(n) is the standard deviation of the standard deviation of n independent observations from a normal population with unit standard deviation
N is the number of subgroups for which





/
= weighted average of subgroup means