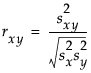
The Pearson correlation coefficient is denoted r, and is computed as follows:
Where
is either the weight of the ith observation if a weight column is specified, or 1 if no weight column is assigned.
is either the weight of the ith observation if a weight column is specified, or 1 if no weight column is assigned.
where