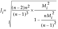
The Mahalanobis distance takes into account the correlation structure of the data and the individual scales. For each value, the Mahalanobis distance is denoted Mi and is computed as
Y is the row of means
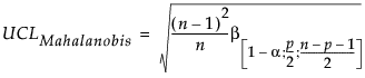
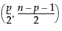
n = number of observations
p = number of variables (columns)
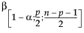
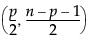
n = number of observations
p = number of variables (columns)
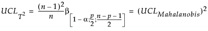
T2 Distance Measures
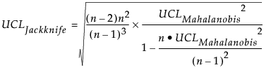
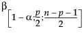
n = number of observations
p = number of variables (columns)


= (1–
distribution


= (1–
distribution