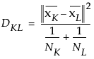
This section provides the formulas used in calculating distances based on the Method that you select on the launch window. For a description of the methods, see Method for Distance Calculation.
n is the number of observations
v is the number of variables
x is the sample mean vector
is the square root of the sum of the squares of the elements of x (the Euclidean length of the vector x)




