For example, suppose that the goal was to find the factor settings that achieved a target of 35 for the response, but at the smallest variance. Fit the models and choose Profiler from the report menu. For example, Profiler to Match Target and Minimize Variance with Prediction Intervals shows the Profiler set up to match a target value for a mean and to minimize variance.
|
1.
|
|
2.
|
Select Analyze > Fit Model.
|
|
3.
|
Click Run.
|
|
4.
|
From the red triangle menu next to Loglinear Variance Fit, select Profilers > Profiler.
|
|
5.
|
From the red triangle menu next to Prediction Profiler, select Optimization and Desirability > Set Desirabilities.
|
|
7.
|
Click OK.
|
|
9.
|
From the red triangle menu next to Prediction Profiler select Optimization and Desirability > Maximize Desirability.
|
|
10.
|
From the red triangle menu next to Prediction Profiler, select Prediction Intervals.
|
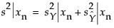
Because the variance of the individual prediction contains the variance of the distribution of Y, the effects of the changing variance for Y can be seen. Not only are the individual prediction intervals wider, but they can change shape with a change in the variance effects.


is the variance of the sampling distribution of
, and is also the variance for the mean.