The final design points can be obtained by using the default MaxPro (maximum projection) optimality criterion or by selecting the Centroid criterion. You can find these options under FFF Optimality Criterion in the report’s red triangle menu.
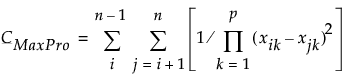
For p factors and n equal to the specified Number of Runs, the MaxPro criterion strives to find points in the clusters that minimize the following criterion:
Note: You can set a preference to always use a given optimality criterion. Select File > Preferences > Platforms > DOE. Check FFF Optimality Criterion and select your preferred criterion.
|
•
|
The total number of design points is balanced across the total number of combinations of levels of the categorical factors. Suppose that there are m combinations of levels and that k design points are allocated to each of these.
|
|
•
|
|
•
|
|
•
|
Within each primary cluster, a design point is calculated for each of the m sub-clusters using the specified FFF optimality criterion.
|
|
•
|
For each of the k primary clusters, one of the m combinations of levels is randomly assigned to each of the m sub-cluster design points. This yields a total of km design points.
|
