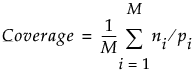
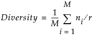
t is the strength of the design
K is the number of factors
r is the number of runs in the design
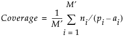
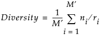
In a constrained design, certain t tuples are not allowed. This can result in missing values for some t tuples. For some combinations of t factors, there might be no valid t tuples whatsoever. Coverage and diversity must be defined in terms of the possible valid combinations. For this reason, the formulas for constrained designs require additional notation:
m is the number of projections where there are no valid t tuples
If there are no invalid t tuples (M’ = M) and if there are no missing values (ri = r, for all i), then the definitions for coverage and diversity for constrained designs reduce to the definitions for unconstrained designs. For details, see Morgan (2014).






