|
–
|
|
–
|
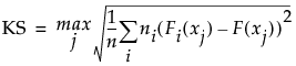
ni is the number of observations in the ith level of X
|
|
–
|
F is the pooled cumulative empirical distribution function
|
|
–
|
An asymptotic Kolmogorov-Smirnov statistic computed as
, where n is the total number of observations.
, where n is the total number of observations.The p-value for the test. This is the probability that D exceeds the computed value under the null hypothesis of no difference between the levels.
The p-value for the test of D+.
The p-value for the test of D-.
For the Kolmogorov-Smirnov exact test, the report gives the same statistics as does the asymptotic test, but the p-values are computed to be exact.
