Effect leverage plots are also referred to as partial-regression residual leverage plots (Belsley, Kuh, and Welsch, 1980) or added variable plots (Cook and Weisberg, 1982). Sall (1990) generalized these plots to apply to any linear hypothesis.
|
•
|
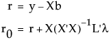
vx is the constrained residual minus the unconstrained residual, r0 - r, reflecting information left over once the constraint is applied
|
|
•
|
These points form the basis for the leverage plot. This construction is illustrated in Construction of Leverage Plot, where the response mean is 0 and slope of the solid line is 1.
These confidence curves give a visual assessment of the significance of the corresponding hypothesis test, illustrated in Comparison of Significance Shown in Leverage Plots:
|
•
|
Borderline: If the t test for the slope parameter is sitting right on the margin of significance, the confidence curve is asymptotic to the horizontal line at the response mean.
|
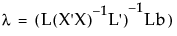
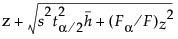
Leverage plots mirror this thinking by displaying confidence curves. These are adjusted so that the plots are suitably centered. Denote a point on the x-axis by z. Define the functions
These functions behave in the same fashion as do the confidence curves for simple linear regression:
|
•
|
|
•
|
If the F statistic is equal to the reference value, the confidence functions have the x-axis as an asymptote.
|
|
•
|
If the F statistic is less than the reference value, the confidence functions do not cross.
|
Also, it is important that Upper(z) - Lower(z) is a valid confidence interval for the predicted value at z.





and
. The plotted points are given by (
, 




is the reference value for significance level
, where
is a row vector consisting of suitable middle values for the predictors, such as their means.