JMP 13.2 Online Documentation (English)
Discovering JMP
Using JMP
Basic Analysis
Essential Graphing
Profilers
Design of Experiments Guide
Fitting Linear Models
Predictive and Specialized Modeling
Multivariate Methods
Quality and Process Methods
Reliability and Survival Methods
Consumer Research
Scripting Guide
JSL Syntax Reference
JMP iPad Help
JMP Interactive HTML
Capabilities Index
JMP 12 Online Documentation
Basic Analysis
•
Distributions
•
Statistical Details for the Distribution Platform
• Normal Quantile Plot
Previous
•
Next
Normal Quantile Plot
The empirical cumulative probability for each value is computed as follows:
where
r
i
is the rank of the
i
th observation, and
N
is the number of non-missing (and nonexcluded) observations.
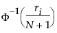
The normal quantile values are computed as follows:
where
Φ
is the cumulative probability distribution function for the normal distribution.
These normal quantile values are Van Der Waerden approximations to the order statistics that are expected for the normal distribution.
Previous
•
Next
Help created on 9/19/2017