With an ordinal response (Y), as with nominal responses, JMP fits probabilities that the response is one of r different response levels given by the data.
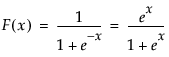
where r response levels are present and F(x) is the standard logistic cumulative distribution function
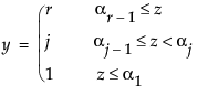
Another way to write this is in terms of an unobserved continuous variable, z, that causes the ordinal response to change as it crosses various thresholds
where z is an unobservable function of the linear model and error
and ε has the logistic distribution.
for


