The Parameter Estimates report shows the estimates of the model parameters and, for each parameter, gives a t test for the hypothesis that it equals zero.
Note: Estimates are obtained and tested, if possible, even when there are linear dependencies among the model terms. Such estimates are labeled Biased or Zeroed. For details, see Models with Linear Dependencies among Model Terms.
Gives the model term corresponding to the estimated parameter. The first term is always the intercept, unless the No Intercept option was checked in the Fit Model launch window. Continuous effects appear with the name of the data table column. Note that continuous columns that are part of higher order terms might be centered. Nominal or ordinal effects appear with values of levels in brackets. See Coding for Nominal Effects and the The Factor Models in Statistical Details for information about the coding of nominal and ordinal terms.
Gives the parameter estimates for each term. These are the estimates of the model coefficients. When there are linear dependencies among model terms, these might be labeled as Biased or Zeroed. See Models with Linear Dependencies among Model Terms.
t Ratio
Tests whether the true value of the parameter is zero. The t Ratio is the ratio of the estimate to its standard error. Given the usual assumptions about the model, the t Ratio has a Student’s t distribution under the null hypothesis.
Lists the p-value for the test that the true parameter value is zero, against the two-sided alternative that it is not.
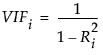
where Ri 2 is the RSquare, or coefficient of multiple determination, for the regression of xi as a function of the other explanatory variables.
Shows the square roots of the relative variances of the parameter estimates (Goos and Jones, 2011, p. 25):

