This section gives the density functions f for the distributions used in the Process Capability platform. It also gives expected values and variances for all but the Johnson distributions.
, , σ > 0
E(X) = μ
Var(X) = σ2
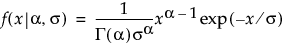
, x > 0, α > 0, σ > 0
E(X) = ασ
Var(X) = ασ2
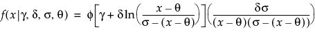
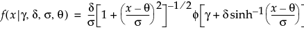
, θ > 0, δ > 0
, θ < x < θ+σ, σ > 0
, for   x > θ if σ = 1, x < θ if σ = -1
E(X) =
Var(X) =
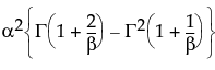
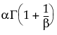
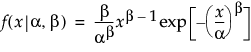
, α > 0, β > 0
E(X) =
Var(X) =, where is the gamma function.

Help created on 9/19/2017