The model matrix. See Coding for Nominal Effects in the Fitting Linear Models book for information on the coding for nominal effects. Also, See Model Matrix in Custom Designs.
Note: You can view the model matrix by running Fit Model. Then select Save Columns > Save Coding Table from the red triangle menu for the main report.
βi
The variance of
is given by the ith diagonal entry of
, where σ2 is the error variance. Denote the ith diagonal entry of
by
.
is given by the ith diagonal entry of
, where σ2 is the error variance. Denote the ith diagonal entry of
by
.The error variance, σ2, is estimated by the MSE, and has
degrees of freedom, where n is the number of observations and p is the number of terms other than the intercept in the model.
degrees of freedom, where n is the number of observations and p is the number of terms other than the intercept in the model.If the true value of
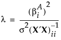
is
, then F0 has a noncentral F distribution with noncentrality parameter given by:
is
, then F0 has a noncentral F distribution with noncentrality parameter given by:

.
is given by:

degrees of freedom.

