In JMP’s implementation, the Profiler first looks at the factor and response variables to see whether there is a Sigma column property (a specification for the standard deviation of the column, accessed through the Cols > Column Info dialog box). If the property exists, then the Prop of Error Bars command becomes accessible in the Prediction Profiler drop-down menu. This displays the 3σ interval that is implied on the response due to the variation in the factor.
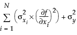
where σy is the user-specified sigma for the response column, and σx is the user-specified sigma for the factor column.
centered, with δ=xrange/10000

