The Space Filling mixture designs spread design points throughout the design region. It accommodates linear constraints. The design is generated in a fashion similar to the Fast Flexible Filling design method found under DOE > Special Purpose > Space Filling Design (Fast Flexible Filling Designs).
For the Fast Flexible Filling mixture design type, enables you to select between the MaxPro criterion (the default) and the Centroid criterion. See FFF Optimality Criterion.
For the Fast Flexible Filling mixture design type, enables you to specify the average number of randomly generated points used to define each cluster or, equivalently, each design point. See Set Average Cluster Size.
|
1.
|
Select DOE > Classical > Mixture Design.
|
|
4.
|
Click Continue.
|
|
5.
|
Click Linear Constraints
|
|
6.
|
Enter 0.7 in the X1 box, 1 in the X3 box, change the direction of the inequality to ≥ and enter 0.4 in the constraint box.
|
This constrains 0.7X1+X3 to at least 40% of the mixture.
|
7.
|
Enter 30 in the Runs box.
|
|
8.
|
Click Space Filling.
|
|
9.
|
Click Make Table.
|
|
10.
|
From the design table, select Graph >Ternary Plot.
|
|
11.
|
This design is constructed using the Centroid FFF Optimality Criterion. Note that the points fall in the constrained design region and are fairly well spread throughout this region. For details about ternary plots see Ternary Plot Overview.
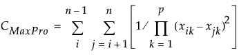
The final design points can be obtained by using the default MaxPro (maximum projection) optimality criterion or by selecting the Centroid criterion. You can find these options under FFF Optimality Criterion in the report’s red triangle menu. MaxPro
For p factors and n equal to the specified Number of Runs, the MaxPro criterion strives to find points in the clusters that minimize the following criterion:
Note: You can set a preference to always use a given optimality criterion. Select File > Preferences > Platforms > DOE. Select FFF Optimality Criterion and select your preferred criterion.
Note: Depending on the number of factors and the specified value for Runs, you might want to increase the average number of initial points per design point by selecting Advanced Options > Set Average Cluster Size.
The design region can be restricted by selecting the Linear Constraint option in the Linear Constraints outline.

