JMP 13.2 Online Documentation (English)
Discovering JMP
Using JMP
Basic Analysis
Essential Graphing
Profilers
Design of Experiments Guide
Fitting Linear Models
Predictive and Specialized Modeling
Multivariate Methods
Quality and Process Methods
Reliability and Survival Methods
Consumer Research
Scripting Guide
JSL Syntax Reference
JMP iPad Help
JMP Interactive HTML
Capabilities Index
JMP 12 Online Documentation
Basic Analysis
•
Distributions
•
Statistical Details for the Distribution Platform
• Standard Deviation Test
Previous
•
Next
Standard Deviation Test
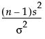
Here is the formula for calculating the Test Statistic:
The Test Statistic is distributed as a Chi-square variable with
n
- 1 degrees of freedom when the population is normal.
The Min PValue is the
p
-value of the two-tailed test, and is calculated as follows:
2*min(p1,p2)
where p1 is the lower one-tail
p
-value and p2 is the upper one-tail
p
-value.
Previous
•
Next
Help created on 9/19/2017