JMP 13.2 Online Documentation (English)
Discovering JMP
Using JMP
Basic Analysis
Essential Graphing
Profilers
Design of Experiments Guide
Fitting Linear Models
Predictive and Specialized Modeling
Multivariate Methods
Quality and Process Methods
Reliability and Survival Methods
Consumer Research
Scripting Guide
JSL Syntax Reference
JMP iPad Help
JMP Interactive HTML
Capabilities Index
JMP 12 Online Documentation
Fitting Linear Models
•
Generalized Regression Models
•
Statistical Details
• Statistical Details for Distributions
Previous
•
Next
Statistical Details for Distributions
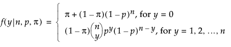
The distributions fit by the Generalized Regression personality are given below in terms of the parameters used in model fitting. Although it is not specifically stated as part of their descriptions, the Generalized Regression personality enables you to specify non-integer values for the discrete distributions.
Continuous Distributions
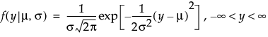
Normal Distribution
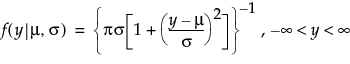
Cauchy Distribution
Exponential Distribution
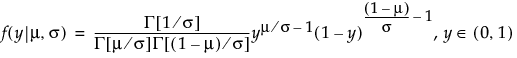
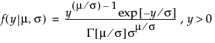
Gamma Distribution
Weibull Distribution
LogNormal Distribution
Beta Distribution
Discrete Distributions
Binomial Distribution
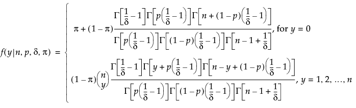
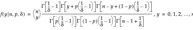
Beta Binomial Distribution
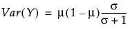
Poisson Distribution
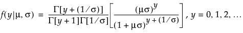
Negative Binomial Distribution
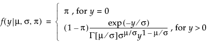
Zero-Inflated Distributions
Zero-Inflated Binomial Distribution
Zero-Inflated Beta Binomial Distribution
Zero-Inflated Poisson Distribution
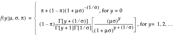
Zero-Inflated Negative Binomial Distribution
Zero-Inflated Gamma Distribution
Previous
•
Next
Help created on 9/19/2017