JMP 13.2 Online Documentation (English)
Discovering JMP
Using JMP
Basic Analysis
Essential Graphing
Profilers
Design of Experiments Guide
Fitting Linear Models
Predictive and Specialized Modeling
Multivariate Methods
Quality and Process Methods
Reliability and Survival Methods
Consumer Research
Scripting Guide
JSL Syntax Reference
JMP iPad Help
JMP Interactive HTML
Capabilities Index
JMP 12 Online Documentation
Consumer Research
•
Categorical Response Analysis
• Statistical Details for the Categorical Platform
Previous
•
Next
Statistical Details for the Categorical Platform
Rao-Scott Correction
The Rao-Scott correction is applied to the test of response homogeneity for multiple responses. See Lavassani et al.(2009). The test of response homogeneity for multiple responses is available only for the structured tab.
In the case of a multiple response, you can have overlapping samples, meaning a single subject can provide more than one response. The Pearson chi-square test is not appropriate for multiple responses, because the multiple responses violate the Pearson chi-square test assumption of independence. In addition, expected values calculated using the marginal totals are influenced by the multiple responses because the totals are larger than if multiple responses were not allowed.
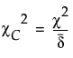
Rao-Scott chi-square statistic is defined as follows:
where
is the standard Pearson Chi-squared statistic and
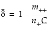
is the correction factor defined by
where
is the total count of the multiple responses
is the total number of subjects and
C
is the number of response levels (number of columns in the Crosstab table).
The degrees of freedom is (
R
-1)
C
or the number of rows minus 1 times the number of columns.
Previous
•
Next
Help created on 9/19/2017