For data that is not interval censored, the initial reports show Summary and Quantiles data (Summary Statistics for the Univariate Survival Analysis). The Summary data shows the number of failed and number of censored observations for each group (when there are groups) and for the whole study. The mean and standard deviations are also adjusted for censoring. For computational details about these statistics, see the SAS/STAT User’s Guide (2001).
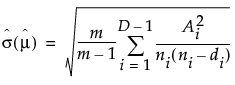
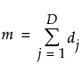
D is the number of distinct event times
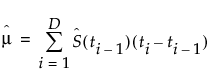
t0 is defined to be 0
The Log-Rank test places more weight on larger survival times and is more useful when the ratio of hazard functions in the groups being compared is approximately constant. The hazard function is the instantaneous failure rate at a given time. It is also called the mortality rate or force of mortality.
The Wilcoxon test places more weight on early survival times and is the optimum rank test if the error distribution is logistic.(Kalbfleisch and Prentice, 1980).
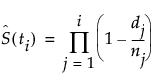
Example of Survival Estimates Table shows an example of the product-limit survival function estimates for one group.
Note: When the final time recorded is a censored observation, the report indicates a biased mean estimate. The biased mean estimate is a lower bound for the true mean.

, with a standard error of
,
,
, and
.
is the survival distribution at time 
