|
•
|
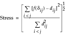
I - The number of dimensions specified for the fit
|
|
•
|
dij - the distance between objects i and j
|
|
•
|
δij - the derived distance between objects i and j
|
- transformation function for the distance