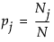
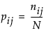
The Likelihood Ratio Chi-square test is computed as twice the negative log-likelihood for Model in the Tests table. Some books use the notation G2 for this statistic. The difference of two negative log-likelihoods, one with whole-population response probabilities and one with each-population response rates, is written as follows:
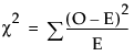
The Pearson Chi-square is calculated by summing the squares of the differences between the observed and expected cell counts. The Pearson Chi-square exploits the property that frequency counts tend to a normal distribution in very large samples. The familiar form of this Chi-square statistic is as follows:

where
and

