Suppose that you want the values for a factor to appear in a different order in the Prediction Profiler. Consider an example of a wine tasting experiment, constructed using Custom Design. Wine is rated by five experts, each listed as a Rater in the Wine Data.jmp sample data table. Rater is a fixed blocking factor. Nine factors are studied. Rating is the response.
|
1.
|
|
2.
|
In the Table panel, click the green triangle next to the Reduced Model script.
|
|
3.
|
Click Run.
|
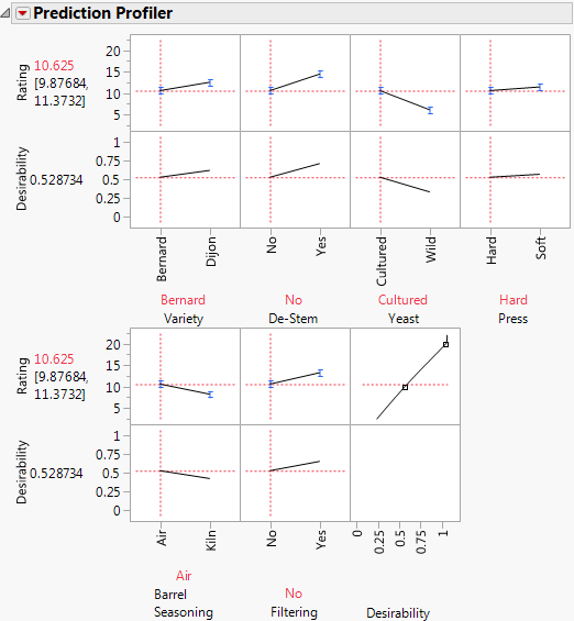
Notice that the values for De-Stem and Filtering appear in the order No followed by Yes. You want to reverse these, so that the Yes level appears first.
|
5.
|
In the data table, click the asterisk next to De-Stem in the columns panel and select Value Ordering.
|
|
6.
|
Click Reverse.
|
|
7.
|
Click OK.
|
|
8.
|
|
9.
|
Click Reverse.
|
|
10.
|
Click OK.
|
|
11.
|
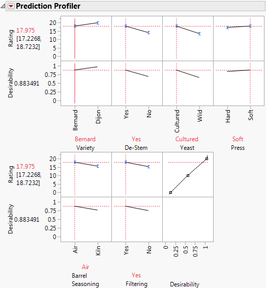
Again, click the green triangle next to the Reduced Model script.
|
|
12.
|
Click Run.
|
|
13.
|
Close the Wine Data.jmp sample data table without saving the changes.
|

