Denote the standard deviation of the process by σ. The Process Capability platform provides two types of capability indices. The Ppk indices are based on an estimate of σ that uses all of the data in a way that does not depend on subgroups. This overall estimate can reflect special cause as well as common cause variation. The Cpk indices are based on an estimate that attempts to capture only common cause variation. The Cpk indices are constructed using within-subgroup, or short-term, estimates of σ. In this way, they attempt to reflect the true process standard deviation. When a process is not stable, the overall and within estimates of σ can differ markedly.
The overall sigma does not depend on subgroups. JMP calculates the overall estimate of σ as follows:
N = number of nonmissing values in the entire data set
Caution: When the process is stable, the Overall Sigma estimates the process standard deviation. If the process is not stable, the overall estimate of σ is of questionable value, since the process standard deviation is unknown.
An estimate of σ that is based on within-subgroup variation can be constructed in one of three ways:
If you specify a subgroup ID column or a constant subgroup size on the launch window, you can specify your preferred within-subgroup variation statistic. See Launch the Process Capability Platform. If you do not specify a subgroup ID column, a constant subgroup size, or a historical sigma, JMP estimates the within sigma using the third method (moving range of subgroups of size two).
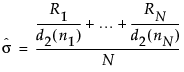
Within sigma estimated by the average of ranges is the same as the estimate of the standard deviation of an X/R chart:
d2(ni) = expected value of the range of ni independent normally distributed variables with unit standard deviation
N = number of subgroups for which

Within sigma estimated by the average of unbiased standard deviations is the same as the estimate for the standard deviation in an X/S chart:
c4(ni) = expected value of the standard deviation of ni independent normally distributed variables with unit standard deviation
N = number of subgroups for which

Within sigma estimated by moving range is the same as the estimate for the standard deviation for Individual Measurement and Moving Range charts:
MR = the mean of the nonmissing moving ranges computed as (MR2+MR3+...+MRN)/(N-1) where MRi = |yi - yi-1|.
d2(2) = expected value of the range of two independent normally distributed variables with unit standard deviation.

= mean of nonmissing values in the entire data set

