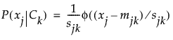
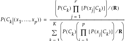
Denote the possible classifications by C1, …, CK. Denote the features, or predictors, by X1, X2, …, Xp.
The conditional probability that an observation with predictor values x1, x2, …, xp belongs in the class Ck is computed as follows:
where R is a regularization constant. In the formula above, the conditional probability that an observation with Xj = xj belongs to the class Ck, P(xj|Ck), is given as follows:
|
•
|
|
•
|
Here, φ is the standard normal density function, and m and s are the mean and standard deviation, respectively, of the predictor values within the class Ck.
Note: In the formula for P(Ck), 0.5 is the prior bias factor. This value is the default value. To change the prior default factor, go to File > Preferences > Platforms > Naive Bayes, select the Prior Bias check box and change the value.

,

