A column with no target can have both upper and lower specification limits, or only a single specification limit. This section uses the notation defined in Notation for Goal Plots and Capability Box Plots.
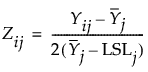
When no target is specified for the jth column, the capability box plot is based on the following values for the transformed observations:
When no target is specified for the jth column, the capability box plot is based on the following values for the transformed observations:

