The Design Diagnostics outline shows D-, G-, A, and I-efficiencies for the reference design relative to the comparison designs. It also shows the Additional Run Size. Given two designs, the one with the higher relative efficiency measure is better.
Figure 15.29 Design Diagnostics for Three Designs
Figure 15.29 shows the Design Diagnostics report for the three designs constructed in Designs of Different Run Sizes, with only main effects in the Model outline.
The values in the Design Diagnostics table are colored according to a color gradient shown under the table. You can control the color legend using the options in the Design Diagnostics red triangle menu. See Color Dashboard.
Relative efficiencies for each of D-, G-, A-, and I-efficiency are shown in the Design Diagnostics report. These are obtained by computing each design’s efficiency value and then taking the appropriate ratio. The descriptions of the relative efficiency measures are given in Relative Efficiency Measures.
|
•
|
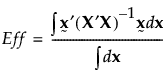
X is the model matrix
|
|
•
|
p is the number of terms, including the intercept, in the model
|
|
•
|
The relative efficiency of the reference design (Ref) to the comparison design (Comp) is given by the following expressions:

is the relative prediction variance at the point
. See 

or the prediction variance from the Monte Carlo sampling. Therefore, calculations for the same design might vary slightly.
