The confidence limits are computed using Fieller’s theorem (1954), which is based on the following logic. The goal is predicting the value of a single regressor and its confidence limits given the values of the other regressors and the response.
|
•
|
|
•
|
|
•
|
Let y be the response value.
|
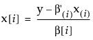
We desire a confidence region on the value of x[i] such that β’x = y with all other values of x given.
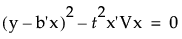
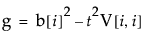
where the subscript (i) in parentheses indicates that the ith component is omitted. A confidence interval can be formed from the relation
|
•
|
Note: The Fit Y by X logistic platform and the Fit Model Nominal Logistic personalities use t values when computing confidence intervals for inverse prediction. The Fit Model Generalized Linear Model personality, as well as PROC PROBIT in SAS/STAT, use z values, which give different results.







, where 
or 