Spearman’s ρ (rho) Coefficients
Spearman’s ρ correlation coefficient is computed on the ranks of the data using the formula for the Pearson’s correlation previously described.
Kendall’s τb coefficients are based on the number of concordant and discordant pairs. A pair of rows for two variables is concordant if they agree in which variable is greater. Otherwise, they are discordant, or tied.
|
•
|
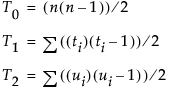
The ti (the ui) are the number of tied x (respectively y) values in the ith group of tied x (respectively y) values.
|
|
•
|
The n is the number of observations.
|
|
•
|
|
•
|
|
•
|
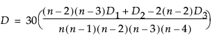
The Qi (sometimes called bivariate ranks) are one plus the number of points that have both x and y values less than the ith points.
|
|
•
|
A point that is tied on its x value or y value, but not on both, contributes 1/2 to Qi if the other value is less than the corresponding value for the ith point. A point tied on both x and y contributes 1/4 to Qi.
|
When there are no ties among observations, the D statistic has values between –0.5 and 1, where 1 indicates complete dependence. If a weight variable is specified, it is ignored.



