The levels of X, where k is the total number of levels.
The number of observations in each of the k levels of X.
Rj
The midrank of the jth observation. The midrank is the observation’s rank if it is not tied and its average rank if it is tied.
The levels of the blocking variable, where B is the total number of blocks.
Rbi
The function α defines scores as follows:
Tests based on the normal approximation are given only when X has exactly two levels. The notation used in this section is defined in Notation. The statistics that appear in the Two-Sample Normal Approximation report are defined below.
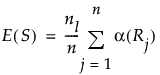
The statistic S is the sum of the values α(Rj) for the observations in the smaller group. If the two levels of X have the same numbers of observations, then the value of S corresponds to the last level of X in the value ordering.
Note: The Wilcoxon test adds a continuity correction. If (S - E(S)) is greater than zero, then 0.5 is subtracted from the numerator. If (S - E(S)) is less than zero, then 0.5 is added to the numerator.
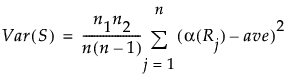
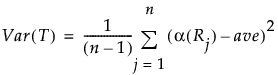
Define ave to be the average score across all observations. Then the variance of S is given as follows:
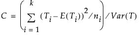
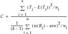
The notation used in this section is defined in Notation. The following quantities are used in calculating the ChiSquare statistic:
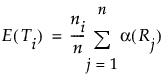
Ti
The expected value of the total score for level i under the null hypothesis of no difference in levels, given as follows:
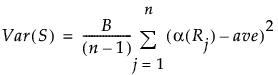
Define ave to be the average score across all observations. Then the variance of T is given as follows:
The value of the test statistic is given below. This statistic is asymptotically ChiSquare on k - 1 degrees of freedom.












