JMP 14.1 Online Documentation (English)
Discovering JMP
Using JMP
Basic Analysis
Essential Graphing
Profilers
Design of Experiments Guide
Fitting Linear Models
Predictive and Specialized Modeling
Multivariate Methods
Quality and Process Methods
Reliability and Survival Methods
Consumer Research
Scripting Guide
JSL Syntax Reference
JMP iPad Help
JMP Interactive HTML
Capabilities Index
JMP 13 Online Documentation
JMP 12 Online Documentation
Basic Analysis •
Distributions
•
Statistical Details for the Distribution Platform
• Normal Quantiles
Previous
•
Next
Normal Quantiles
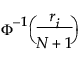
The normal quantile values are computed as follows:
where:
is the cumulative probability distribution function for the normal distribution.
r
i
is the rank of the
i
th observation.
N
is the number of nonmissing observations.
Previous
•
Next
Help created on 10/11/2018