This option saves scripts called Moments Matrix and Model Matrix that contain the moments matrix and the model matrix to the design data table. The moments matrix and the model matrix are used to calculate the Average Variance of Prediction, which appears in the Design Diagnostics section of the Design Evaluation outline. For details, see Goos and Jones (2011). If the design is a split-plot design, a V Inverse script is also saved. The V Inverse script contains the inverse of the covariance matrix of the responses.
Caution: For a design with nominal factors, the Model Matrix saved by the Save X Matrix option is not the coding matrix used in fitting the linear model. You can obtain the coding matrix used for fitting the model by selecting the option Save Columns > Save Coding Table in the Fit Model report that you obtain when you run the Model script.
Note: You can set a preference to always save the matrix script. Select File > Preferences > Platforms > DOE. Check Save X Matrix.
The model matrix describes the design for the experiment. The model matrix has a row for each run and a column for each term of the model specified in the Model outline. For each run, the corresponding row of the model matrix contains the coded values of the model terms:
For more information about the Gram-Schmidt orthogonalization procedure, see Horn and Johnson (2012).
Note: Coding for power analysis matches that of fitting linear models. For more information about the coding used for nominal terms in fitting linear models, see Coding for Nominal Effects in the Fitting Linear Models book.
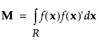
The moments matrix is dependent upon the model effects but is independent of the design. It is defined as follows:
where f(x) denotes the model effects corresponding to factor combinations of the vector of factors, x, and R denotes the design space. For additional details concerning moments and design matrices, see Goos and Jones (2011, pp 88-90) and Myers et al. (2009). Note that the moments matrix is called a matrix of region moments in Myers et al. (2009, p. 376).
From the Custom Design red triangle menu, select Save X Matrix. After the design and the table are created, in the Custom Design table, the Moments Matrix and Model Matrix scripts, and if the design is a split plot, the V Inverse script, are saved as table scripts.
|
•
|
Right-click and Select Edit from either the Moments Matrix, Model Matrix, or V Inverse script. The script shows the corresponding matrix. You can copy this matrix into scripts that you write.
|
|
1.
|
|
2.
|
Add 3 continuous factors and click Continue.
|
|
3.
|
Click Interactions > 2nd.
|
|
4.
|
From the Custom Design red triangle menu, select Save X Matrix.
|
|
5.
|
The script appears in a script window. The script shows the moments matrix, which is called Moments.
Figure 3.28 Moments Matrix Script
|
7.
|
The number of rows appear in the log as N Row(Moments)=7.
|
10.
|
Click Run.
|
The number of rows appears in the log as N Row(X)=12.
dt = New Table( "Model Matrix" );
dt << Set Matrix( X );
|
12.
|
Click Run.
|

