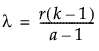
a is the number of treatments
r is the number of times each treatment occurs in the design
b is the number of blocks
k is the number of treatments in each block
where λ must be an integer.
