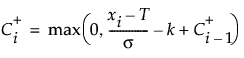
Note: In the Save Summaries data table, C+ and C- are labeled Upper Cumulative Sum and Lower Cumulative Sum, respectively.
T is the target of the process
σ is the standard deviation of the process
k is the reference value, in units of standard deviations
If a value is specified for Head Start, that value is used as the initial C+ value and the negative of that value is used as the initial C- value. Otherwise, the initial values of C+ and C- are zero.
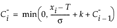
T is the target of the process
σ is the standard deviation of the process
K is the reference value, in units of the data
If a value is specified for Head Start, that value is used as the initial C+ value and the negative of that value is used as the initial C- value. Otherwise, the initial values of C+ and C- are zero.
N+ at each step is the number of steps since the most recent zero value for C+. N- at each step is the number of steps since the most recent zero value for C-.
Note: In the Save Summaries data table, N+ and N- are labeled Positive Runs and Negative Runs, respectively.



