JMP 14.1 Online Documentation (English)
Discovering JMP
Using JMP
Basic Analysis
Essential Graphing
Profilers
Design of Experiments Guide
Fitting Linear Models
Predictive and Specialized Modeling
Multivariate Methods
Quality and Process Methods
Reliability and Survival Methods
Consumer Research
Scripting Guide
JSL Syntax Reference
JMP iPad Help
JMP Interactive HTML
Capabilities Index
JMP 13 Online Documentation
JMP 12 Online Documentation
Quality and Process Methods •
Measurement Systems Analysis
• Statistical Details for Measurement Systems Analysis
Previous
•
Next
Statistical Details for Measurement Systems Analysis
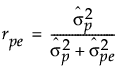
Intraclass Correlation without bias is computed as follows:
Intraclass Correlation with bias is computed as follows:
Intraclass Correlation with bias and interaction factors is computed as follows:
Probable Error is computed as follows:
Note the following:
= variance estimate for pure error
= variance estimate for product
= variance estimate for bias factors
= variance estimate for interaction factors
Z
0.75
= the 75% quantile of standard normal distribution
Previous
•
Next
Help created on 10/11/2018