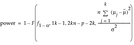
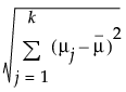
The k sample mean calculations are based on the following:
α is the significance level
σ is the common standard deviation among the k groups.
n is the sample size per group.
p is the number of extra parameters.
is the mean of the k group prospective meansF(x, df1, df2, nc) is the cumulative distribution function of the non-central F distribution with degrees of freedom df1 and df2 and non-centrality parameter nc evaluated at x.

