The reliability demonstration depends on the assumed failure time distribution with scale parameter σ. The reliability standard, or probability of survival at time t and location μ is stated as follows:
where μ is solved for using the following:
To calculate sample size and the size of the test, the probability of survival at time t is posed as a hypothesis test:
We want to test the hypothesis at the α level or as follows:
Since the test is of n independent units, the number of failures has a binomial (n, p) distribution where p is the probability of a unit failing before time t. Therefore, we can express α as a function of t and n:
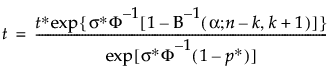
For n, Brent’s method is used to find the root of:
and Φ() is the cumulative distribution function of the assumed failure time distribution.

.
.


