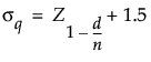
Calculations for the sigma quality calculator are based on the definition of sigma quality level σq for d defects in n opportunities:
where Φ() is the standard normal cumulative distribution function and Z1-d/n is the (1 - d/n)th quantile from the standard normal distribution.


