Figure 4.3 Stepwise Regression Control Panel
The Stopping Rule determines which model is selected. For all stopping rules other than P-value Threshold, only the Forward and Backward directions are allowed. The only stopping rules that use validation are Max Validation RSquare and Max K-Fold RSquare. See Using Validation.
|
–
|
Prob to Enter is the maximum p-value that an effect must have to be entered into the model during a forward step.
|
|
–
|
Prob to Leave is the minimum p-value that an effect must have to be removed from the model during a backward step.
|
Uses the minimum corrected Akaike Information Criterion to choose the best model. For more details, see Likelihood, AICc, and BIC in Statistical Details.
Uses the minimum Bayesian Information Criterion to choose the best model. For more details, see Likelihood, AICc, and BIC in Statistical Details.
Uses the maximum R-square from the validation set to choose the best model. This is available only when you use a validation column with two or three distinct values. For more information about validation, see Validation Set with Two or Three Values.
Uses the maximum RSquare from K-fold cross validation to choose the best model. You can access the Max K-Fold RSquare stopping rule by selecting this option from the Stepwise red triangle menu. JMP Pro users can access the option by using a validation set with four or more values. When you select this option, you are asked to specify the number of folds. For more information about validation, see K-Fold Cross Validation.
Enters the term with the smallest p-value. If the P-value Threshold stopping rule is selected, that term must be significant at the level specified by Prob to Enter. See Forward Selection Example.
Removes the term with the largest p-value. If the P-value Threshold stopping rule is selected, that term must not be significant at the level specified in Prob to Leave. See Backward Selection Example.
Note: When Backward is selected as the Direction, you must click Enter All before clicking Go or Step.
Available only when the P-value Stopping Rule is selected. It alternates the forward and backward steps. It includes the most significant term that satisfies Prob to Enter and removes the least significant term satisfying Prob to Leave. It continues removing terms until the remaining terms are significant and then it changes to the forward direction.
Note: All Stopping Rules consider only models defined by p-value entry (Forward direction) or removal (Backward direction). Stopping rules do not consider all possible models.
|
–
|
|
•
|
A hierarchy results when a variable is a component of another variable. For example, if your model contains variables A, B, and A*B, then A and B are precedent terms to A*B in the hierarchy.
|
|
•
|
Calculates p-values for two separate tests when considering entry for a term that has precedents. The first p-value, p1, is calculated by grouping the term with its precedent terms and testing the group’s significance probability for entry as a joint F test. The second p-value, p2, is the result of testing the term’s significance probability for entry after the precedent terms have already entered into the model. The final significance probability for entry for the term that has precedents is max(p1, p2).
Tip: The Combine rule avoids including non-significant interaction terms, whose precedent terms can have particularly strong effects. In this scenario, the strong main effects might make the group’s significance probability for entry, p1, very small. However, the second test finds that the interaction by itself is not significant. As a result, p2 is large and is used as the final significance probability for entry.
Caution: The degrees of freedom value for a term that has precedents depends on which of the two significance probabilities for entry is larger. The test used for the final significance probability for entry determines the degrees of freedom, nDF, in the Current Estimates table. Therefore, if p1 is used, nDF equals the number of terms in the group for the joint test, and if p2 is used, nDF equals 1.
Restricts the terms that have precedents so that they cannot be entered until their precedents are entered. See Models with Nominal and Ordinal Effects and Example of the Restrict Rule for Hierarchical Terms.
Enters only whole effects, when terms involving that effect are significant. This rule applies only when categorical variables with more than two levels are entered as possible model effects. See Rules.
Creates a model for the Fit Model window from the model currently showing in the Current Estimates table. In cases where there are nominal or ordinal terms, Make Model creates temporary transform columns that contain terms that are needed for the model.
Runs the model currently showing in the Current Estimates table. In cases where there are nominal or ordinal terms, Run Model creates temporary transform columns that contain terms that are needed for the model.
Adjusts R2 to make it more comparable over models with different numbers of parameters by using the degrees of freedom in its computation. The adjusted R2 is useful in stepwise procedure because you are looking at many different models and want to adjust for the number of terms in the model.
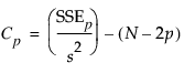
Mallow’s Cp criterion for selecting a model. It is an alternative measure of total squared error and can be defined as follows:
where s2 is the MSE for the full model and SSEp is the sum-of-squares error for a model with p variables, including the intercept. Note that p is the number of x-variables+1. If Cp is graphed with p, Mallows (1973) recommends choosing the model where Cp first approaches p.
Corrected Akaike’s Information Criterion. For more details, see Likelihood, AICc, and BIC in Statistical Details.
Bayesian Information Criterion. For more details, see Likelihood, AICc, and BIC in Statistical Details.
Notice that the default selection for Direction is Forward.
|
2.
|
Click Step.
|
In Figure 4.4, you can see that after one step, the most significant term, Runtime, is entered into the model.
|
3.
|
Click Go.
|
|
2.
|
Click Enter All.
|
Figure 4.6 All Effects Entered into the Model
|
3.
|
For Direction, select Backward.
|
|
4.
|
Click Step two times.
|
The Current Estimates and Step History tables shown in Figure 4.7 summarize the backward stepwise selection process. Note the BIC value of 156.362 for the third step in the Step History table. If you click Step again to remove another parameter from the model, the BIC value increases to 159.984. For this reason, you choose the step 3 model. This is also the model that the Go button produces.


Step forward and backward one step in the selection process.



