JMP 14.1 Online Documentation (English)
Discovering JMP
Using JMP
Basic Analysis
Essential Graphing
Profilers
Design of Experiments Guide
Fitting Linear Models
Predictive and Specialized Modeling
Multivariate Methods
Quality and Process Methods
Reliability and Survival Methods
Consumer Research
Scripting Guide
JSL Syntax Reference
JMP iPad Help
JMP Interactive HTML
Capabilities Index
JMP 13 Online Documentation
JMP 12 Online Documentation
Multivariate Methods •
Multidimensional Scaling
•
Statistical Details for the Multidimensional Scaling Platform
• Stress
Previous
•
Next
Stress
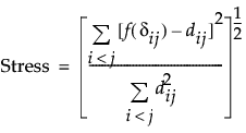
The following notation is used to define Stress:
•
i, j - indexes for the number of objects
•
d
ij
- the derived distance between objects i and j
δ
ij
- the observed relative distance between objects i and j
•
f
(
δ
rs
) - transformation function for the distance
The Stress function is given as follows:
This measure of stress is also known as Kruskal’s Stress, Type I, or simply Stress1.
Previous
•
Next
Help created on 10/11/2018