This section describes the calculation of the bias-corrected (BC) confidence intervals that appear in the Bootstrap Confidence Limits report when you run the Distribution script in the Bootstrap Results table. Bias-corrected percentile intervals improve on the ability of percentile intervals in accounting for asymmetry in the bootstrap distribution. See Efron (1981).
|
•
|
p* is the proportion of bootstrap samples with an estimate of the statistic of interest that is less than or equal to the original estimate.
|
|
•
|
|
•
|
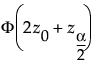
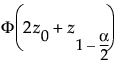
The endpoints of a (1 - α) bias-corrected confidence intervals are given by quantiles of the bootstrap distribution:
Bias-Corrected Percentile Intervals
