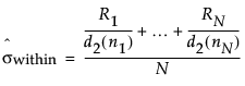
d2(ni) = expected value of the range of ni independent normally distributed variables with unit standard deviation
= the mean of the nonmissing moving ranges computed as (MR2+MR3+...+MRN)/(N-1) where MRi = |yi - yi-1|.d2(2) = expected value of the range of two independent normally distributed variables with unit standard deviation.



