JMP 14.2 Online Documentation (English)
Discovering JMP
Using JMP
Basic Analysis
Essential Graphing
Profilers
Design of Experiments Guide
Fitting Linear Models
Predictive and Specialized Modeling
Multivariate Methods
Quality and Process Methods
Reliability and Survival Methods
Consumer Research
Scripting Guide
JSL Syntax Reference
JMP iPad Help
JMP Interactive HTML
Capabilities Index
JMP 13.2 Online Documentation
Quality and Process Methods
•
Control Chart Builder
•
Statistical Details for the Control Chart Builder Platform
• Control Limits for u-charts and c-charts
For the latest version of JMP Help, visit
JMP.com/help
.
Previous
•
Next
Control Limits for u-charts and c-charts
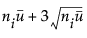
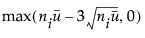
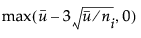
The lower and upper control limits, LCL, and UCL, are computed as:
u-chart LCL =
u-chart UCL =
c-chart LCL =
c-chart UCL =
The limits vary with
n
i
.
u
i
is the number of nonconformities per unit in the
i
th
subgroup. In general,
u
i
=
c
i
/
n
i
.
c
i
is the total number of nonconformities in the
i
th
subgroup
n
i
is the number of inspection units in the
i
th
subgroup
is the average number of nonconformities per unit taken across subgroups. The quantity
is computed as a weighted average
N
is the number of subgroups
Previous
•
Next
Help created on 3/19/2020