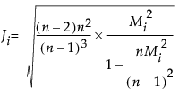
The Mahalanobis distance takes into account the correlation structure of the data and the individual scales. For each value, the Mahalanobis distance is denoted Mi and is computed as follows:
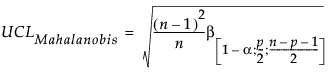
The UCL reference line (Mason and Young 2002) drawn on the Mahalanobis Distances plot is computed as follows:
n = number of observations
p = number of variables (columns)
n = number of observations
p = number of variables (columns)
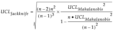
The UCL reference line (Penny 1996) drawn on the Jackknife Distances plot is calculated as follows:
T2 Distance Measures
n = number of observations
p = number of variables (columns)

is the row of means
= (1–
distribution


= (1–
distribution