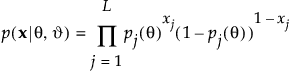
where p(x|θ, ϑ) is the probability of a response vector x given the subject ability θ and the vector of item parameters ϑ. The number of item parameters depends on the model used (1PL, 2PL, or 3PL).
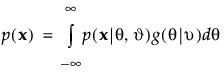
MMLE integrates out the subject effects using Gaussian quadrature to obtain item parameter estimates. The probability of response vector x is as follows:
where g(θ|ν) is the distribution of the subjects and ν is a vector of the population location and scale parameters. The normal distribution with mean 0 and standard deviation 1 is used for g(θ|ν) in JMP.
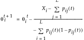
There are 2L patterns of responses for L items. The ability level for each pattern can be calculated by finding the ability level with the highest probability for the response pattern by applying the following until θ converges:
θ maximizes the likelihood of obtaining the response pattern
t is the number of iterations
L is the number of items
Xi is the observed score
pij is the probability of a correct response on the jth item by the ith person based on the item parameters.


