JMP 14.2 Online Documentation (English)
Discovering JMP
Using JMP
Basic Analysis
Essential Graphing
Profilers
Design of Experiments Guide
Fitting Linear Models
Predictive and Specialized Modeling
Multivariate Methods
Quality and Process Methods
Reliability and Survival Methods
Consumer Research
Scripting Guide
JSL Syntax Reference
JMP iPad Help
JMP Interactive HTML
Capabilities Index
JMP 13.2 Online Documentation
Design of Experiments Guide
•
Prospective Sample Size and Power
• k Sample Means Calculator
For the latest version of JMP Help, visit
JMP.com/help
.
Previous
•
Next
k Sample Means Calculator
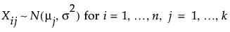
Use the k Sample Means calculator to determine an appropriate sample size for a hypothesis test about two to ten means. Sample size and power are associated with the following hypothesis test:
versus the two-sided alternative:
where:
Previous
•
Next
Help created on 3/19/2020