If an experiment involves categorical or discrete numeric factors, or if the number of runs is constrained, it might not be possible to construct an orthogonal design for screening main effects. However, a main effects screening design can be constructed. See Lekivetz et al. (2015).
A main effects screening design is a design with good balance properties as described by a Chi-square criterion. See Chi-Square Efficiency. Such designs have desirable statistical properties for main effect models.
|
•
|
|
•
|
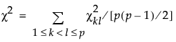
A measure of the lack of orthogonality evidenced by columns k and l is given by the following expression:
The maximum possible value of χ2, denoted
, is obtained. The chi-square efficiency of a design is defined as follows:
, is obtained. The chi-square efficiency of a design is defined as follows:Chi-square efficiency indicates how close χ2 is to zero, relative to a design in which pairs of levels show extreme lack of balance.
and
, respectively.
.

