JMP 14.2 Online Documentation (English)
Discovering JMP
Using JMP
Basic Analysis
Essential Graphing
Profilers
Design of Experiments Guide
Fitting Linear Models
Predictive and Specialized Modeling
Multivariate Methods
Quality and Process Methods
Reliability and Survival Methods
Consumer Research
Scripting Guide
JSL Syntax Reference
JMP iPad Help
JMP Interactive HTML
Capabilities Index
JMP 13.2 Online Documentation
Basic Analysis
•
Contingency Analysis
•
Statistical Details for the Contingency Platform
• Odds Ratio Option
For the latest version of JMP Help, visit
JMP.com/help
.
Previous
•
Next
Odds Ratio Option
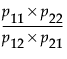
The Odds Ratio is calculated as follows:
where
p
ij
is the count in the
i
th
row and
j
th
column of the 2x2 table.
Previous
•
Next
Help created on 3/19/2020